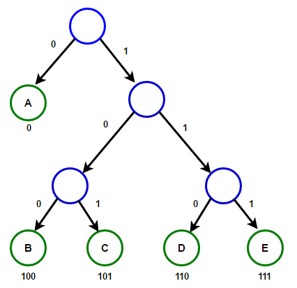
Data Structure & Algorithm Takeaway: Huffman Algorithm

This post series simply answer questions about data structures and algorithms, as a quick reference for you and me.
Data Structure & Algorithm Takeaway series
computer science
programming
Published

October 2, 2025

Modified

November 21, 2025